不同霾识别方法对陕西霾判识的影响

文章正文
发布时间:2024-08-09 15:43

不同霾识别方法对陕西霾判识的影响

李星敏 1,2

, 董自鹏 1,2, 赵奎锋 3, 陈闯 1,2, 彭艳 1,2    

1. 陕西省气象科学研究所, 西安 710014
2. 陕西省气象局秦岭和黄土高原生态环境气象重点实验室, 西安 710014
3. 陕西省气象台, 西安 710014

2021年3月26日收稿;2022年1月21日收修定稿

资助项目:陕西省重点研发计划项目(2019SF-269)、国家自然科学基金青年项目(41905016)、陕西省气象局秦岭和黄土高原生态环境气象重点实验室开放研究基金项目(2019Z-7)共同资助

第一作者:李星敏, 主要从事环境气象服务与研究.E-mail: lixingmin803@163.com

摘要:利用2016年3月至2020年2月逐时气象和PM2.5质量浓度观测资料, 依据《霾的观测和预报等级(QX/T 113—2010)》(以下简称2010行标)和《霾的观测识别》(GB/T 36542—2018)(以下简称2018国标)两种标准规定的判识方法, 分析了在不同标准下陕西省霾出现频率的差异。结果表明: 采用2018国标判识的霾出现频率明显多于采用2010行标的霾出现频率, 若均以霾现象持续6 h及以上作为判定标准, 则两者得到的霾日数相当。在80%≤相对湿度<95%时, 用2018国标判识的霾出现频率比采用2010行标多, 湿度越大, 增加越明显; 气溶胶吸湿性参数对吸湿增长后气溶胶消光系数的计算影响较大, 使用2018国标时应注意该参数在各地的差异。在PM2.5≤75 μg·m-3时, 采用2018国标仍能识别出霾, 显现出湿度对能见度的影响; 在PM2.5>75 μg·m-3时, 当空气污染达到中度及以上时, 两者差异缩小。陕西省各地市霾发生频率的月变化均呈现出“冬高夏低”的“U型”分布, 且以1月发生频率最高。除陕北的榆林、延安, 陕南的商洛霾发生频率的日变化表现为单峰(09—11时)外, 其余地市霾发生频率的日变化均表现为双峰分布(09—11时和20—23时)。

关键词    能见度    颗粒物浓度    相对湿度    

Influence of Different Haze Distinguishing Methods on the Results of Haze Identification in Shaanxi Province

LI Xingmin1,2

, DONG Zipeng1,2, ZHAO Kuifeng3, CHEN Chuang1,2, PENG Yan1,2    

1. Shaanxi Institute of Meteorological Sciences, Xi'an 710014;
2. Key Laboratory of Eco-Environment and Meteorology for Qinling Mountains and Loess Plateau, Shaanxi Meteorological Service, Xi'an 710014;
3. Shaanxi Meteorological Observatory, Xi'an 710014

Abstract: The differences in haze occurrence frequency identified by two different standards, i.e., the Observation and Forecasting Levels of Haze (QX/T 113-2010) (hereafter referred to as 2010QX) and the Haze Identification for Meteorological Observation (GB/T 36542-2018) (hereafter referred to as 2018GB) are analyzed by employing the hourly meteorological data and particulate matter (PM2.5) mass concentration from March 2016 to February 2020. The results show that the occurrence frequency of haze identified by 2018GB is significantly higher than that of haze identified by 2010QX. However, the numbers of haze days obtained by these two standards are equivalent if we take haze phenomena lasting for 6 h or more as the criterion of haze days. When 80%≤RH < 95%, the haze occurrence frequency identified by 2018GB is higher than that of 2010QX. The higher the humidity, the more it increases. Aerosol hygroscopicity parameter has a great influence on the calculation of aerosol extinction coefficient, and the difference of this parameter in different regions should be paid more attention to when using the 2018GB. When PM2.5≤75 μg·m-3, 2018GB can still identify haze, showing the influence of humidity on visibility. The difference of haze occurrence between the two distinguishing methods decreases when the pollution level is moderate-high. The monthly variation of haze occurrence frequency in all cities in Shaanxi Province presents a U-shaped distribution with high in winter and low in summer, and the monthly haze occurrence frequency is highest in January. Except in Yulin and Yan'an in northern Shaanxi and Shangluo in southern Shaanxi, the diurnal variation of hourly haze occurrence frequency shows a single peak in the morning from 09:00 BT to 11:00 BT, while the diurnal variation of hourly haze occurrence frequency in other cities has a bimodal distribution with peaks in the morning from 09:00 BT to 11:00 BT and in the evening from 20:00 BT to 23:00 BT.

Key words: haze    visibility    particle mass concentration    relative humidity    

引言

近年来,人们常常把由细颗粒物污染造成的低能见度天气称作“雾-霾”天气,雾-霾天气的频繁出现,给人们的生产生活和健康带来了很大影响,引起了社会的广泛关注。研究指出,现今雾-霾的主要成因是严重的气溶胶污染,气象条件对雾-霾天气的演变过程具有重要影响(;),然而,气象中的雾-霾与大气颗粒物污染又不完全相同。在气象学上,雾和霾是自然界中的两种天气现象,在QX/T48—2007()中,雾的定义为:大量微小水滴浮游空中,常呈乳白色,使水平能见度小于1.0 km。霾的定义为:大量极细微的干尘粒等均匀地浮游在空中,使水平能见度小于10.0 km的空气普遍浑浊的现象;霾使远处光亮物体微带黄、红色,使黑暗物体微带蓝色。气象中霾的定义更多关注于能见度,大气中的细颗粒物和水汽是影响能见度的重要因子(),霾的形成与大气中的颗粒物污染密切相关(),低能见度的出现,可能既有颗粒物的影响, 也有水汽的影响(; )。

早期,霾作为一种天气现象,气象部门虽有清楚的定义,但缺乏定量判识的方法,给霾的统计和长期变化分析带来困难,且早期的霾识别条件中没有考虑相对湿度(RH)()。提出了雾与霾区分的概念模型,给出了雾和霾长期气候资料分析处理的3种方法,随后用这3种方法对京津冀晋霾日做统计,比较后发现,霾日数单次值法>日均值法>14时值法。随着对雾-霾研究的不断深入,霾的判识方法也在不断完善(),探讨并给出了安徽省利用逐时器测能见度、相对湿度、降水等资料确定霾天气的客观标准,基于气溶胶吸湿增长理论,提出了利用实测PM2.5、相对湿度和能见度分辨雾和霾的方法。

2010年中国气象局发布了《霾的观测和预报等级(QX/T 113—2010)》(以下简称2010行标)(),2018年国家市场监督管理总局、中国国家标准化管理委员会发布了《霾的观测识别》(GB/T 36542—2018)(以下简称2018国标)(),这两个标准的发布使霾的判识有了定量化方法,对开展霾的长期变化研究和环境气象服务具有重要意义。

陕西省地处西北地区东部,地形复杂、气候类型多样。北部为黄土高原、中部为关中平原、南部为秦巴山地,从北向南跨约9个纬度、4个气候带:陕北北部属中温带,关中北部及陕北大部属北暖温带,关中平原及秦岭北部属南暖温带,陕南南部(秦岭南坡)属北亚热带。根据干湿状况又可分为干旱-半干旱气候区、半干旱气候区、半湿润气候区、湿润气候区和过湿润气候区()。同时中部的关中平原又是汾渭平原污染重点防治区域的主要组成部分,因此在陕西开展霾判识标准的适用性分析具有很强的代表性。

本文利用气象站和空气质量监测站观测资料,分析比较了用不同霾判识标准计算获得的陕西各地霾出现频率的差异和分布变化,并分析了霾日数与细颗粒物浓度、相对湿度间的关系,为两个标准的应用及环境气象服务提供参考。

1 资料与方法 1.1 资料

选取陕西省西安泾河、咸阳秦都、渭南、宝鸡、铜川、汉中、安康、商洛商县、延安和榆林(市名与站名一致的站点仅给出了市名)的2016年3月1日至2020年2月29日气象观测站逐时能见度、相对湿度、日平均能见度、日平均相对湿度和逐日天气现象记录资料,及距离气象观测站最近(最大距离不超过3.8 km)的与气象观测资料同时段的西安草滩、咸阳市气象站、渭南日报社、宝鸡市监测站等陕西省生态环境保护厅的空气质量监测站点的逐时PM2.5浓度观测资料;所选气象站均为国家气象站,观测仪器均通过中国气象局气象探测中心考核测试,可用于气象观测业务,能见度观测采用华云DNQ1型散射式能见度仪,该设备的工作原理是45°测量前向散射。空气质量监测点均为国控点,由环保部门统一管理维护,所用PM2.5监测仪器主要为赛默飞的5030型和美国MetOne的BAM1020型在线颗粒物监测仪,均采用β射线衰减原理对空气中的颗粒物进行监测。气象资料来自陕西省气象信息中心,空气质量监测站点资料来自陕西省生态环境保护厅网站。为站点的空间分布并叠加地形高程。

  图 1 陕西省地形(填色)及研究站点(圆圈、三角)分布 Fig. 1 Topography (colored) and distribution of stations (circle, triangle) in Shaanxi Province  

1.2 霾判识标准

本文使用的霾判识标准为2010行标和2018国标。两个标准霾的判识条件为:在排除降水、沙尘暴、扬沙、浮尘、烟幕、吹雪、雪暴等天气现象造成的视程障碍后,(1)能见度<10.0 km,且RH<80%,判识为霾;(2)能见度<10.0 km,且80%≤RH < 95%,2010行标按照《地面气象观测规范》()规定的描述或大气成分指标做进一步判识(标准中的大气成分指标有3个:PM2.5>75 μg·m-3,或PM1.0>65 μg·m-3,或气溶胶散射系数+吸收系数>480 Mm-1,则识别为霾);2018国标规定当吸湿增长后气溶胶消光系数与实际大气消光系数的比值达到或超过0.8时,则判识为霾。2018国标一日内霾现象持续6 h及以上时,计为一个霾日。

1.3 气溶胶消光系数计算

在2018国标中涉及到气溶胶吸湿增长后气溶胶消光系数与实际大气消光系数的计算,具体算法如下:

根据2018国标,假定气溶胶体积谱分布符合如下的对数正态分布:

$ \frac{\mathrm{d} V}{\mathrm{~d} \log D}=\frac{M / \rho}{\sqrt{2 {\rm{ \mathsf{ π} }}} \log \sigma_{\mathrm{g}}} \exp \left[-\frac{\left(\log D-\log D_{\mathrm{g}}\right)^{2}}{2 \log ^{2} \sigma_{\mathrm{g}}}\right] $   (1)  

式中: V为气溶胶PM2.5总体积浓度,单位为μm3·m-3;D、Dg和σg分别为干气溶胶粒子的粒径、几何平均粒径和几何标准偏差,单位为μm;M为PM2.5质量浓度,单位为μg·m-3;ρ为气溶胶粒子密度,单位为kg·m-3,取值为1 500 kg·m-3。在运算过程中,Dg和σg分别取值0.4 μm和1.8 μm,并将0.001~30 μm范围内的1 000等分作为D的取值。

气溶胶吸湿增长后的粒径(Dw)由单参数κ-寇拉方程计算:

$ S=\frac{D_{\mathrm{w}}^{3}-D^{3}}{D_{\mathrm{w}}^{3}-D^{3}(1-\kappa)} \exp \left(\frac{\sigma_{\mathrm{s}} / M_{\mathrm{w}}}{R T \rho_{\mathrm{w}} D_{\mathrm{w}}}\right) $   (2)  

式中: S为水汽饱和比,在不饱和时等效于相对湿度;Dw为气溶胶吸湿增长后的粒径,单位为μm;κ为描述气溶胶化学组分对吸湿特性影响的参量,取值为0.3;σs为水的表面张力系数,单位为N·m-1,取值为0.074 2 N·m-1;Mw为水的摩尔质量,单位为g·mol-1,取值为18 g·mol-1;R为普适气体常数,单位为J·mol-1·K-1,取值为8.314 5 J·mol-1·K-1;T为环境温度,单位为K;ρw为水的密度,单位为kg·m-3,取值为1 000 kg·m-3。

气溶胶吸湿增长后的消光系数(σex)为:

$ \sigma_{\mathrm{ex}}=\sum\limits_{D_{\mathrm{w}}} Q_{\mathrm{ex}}\left(D_{\mathrm{w}}, \lambda, Z_{\mathrm{w}}\right) \frac{{\rm{ \mathsf{ π} }} D_{\mathrm{w}}^{2}}{4} \Delta N\left(D_{\mathrm{w}}\right) $   (3)  

式中:σex为吸湿增长后的气溶胶消光系数,单位为km-1;Qex(Dw, λ, Zw)是粒径为Dw、复折射指数为Zw的粒子在波长λ处的消光效率,其值由米散射理论计算而得;ΔN(Dw)为由干气溶胶粒子体积谱分布得到的粒径为Dw分档内的气溶胶数浓度,单位为个·m-3;气溶胶粒子吸湿增长后的复折射指数Zw,由干气溶胶复折射指数Zd和液态水的复折射指数Za按体积加权计算得到:

$ Z_{\mathrm{w}}=\frac{D^{3}}{D_{\mathrm{w}}^{3}} Z_{\mathrm{d}}+\frac{D_{\mathrm{w}}^{3}-D^{3}}{D_{\mathrm{w}}^{3}} Z_{\mathrm{a}} $   (4)  

式中:Zd取值为1.55-0.04i,Za取值为1.33-0.0i。

实际大气消光系数σ'ex由实测的气象能见度(同气象光学视程)计算而得,如式(5):

$ \sigma^{\prime}{}_{\mathrm{ex}}=\frac{3}{V_{\mathrm{m}}} $   (5)  

式中Vm为气象能见度,单位为km。

吸湿增长后气溶胶消光系数与实际大气消光系数的比值即为σex/σ'ex。

1.4 能见度限值的讨论

1980年以前,气象能见度是按照人眼观测的能见度距离分为10个等级来记录的,而1980年后改为直接记录目测的能见度距离。2013年以来,能见度逐步由仪器观测取代人工观测,比较器测与人眼目测能见度发现,器测能见度普遍偏小(; ),当大气消光系数相同时,人工观测约为自动光学视程的1.3倍(),器测能见度与目测能见度的差异使人工观测的雾和霾与自动观测也产生了差异(),对陕西霾日的分析发现,2014年自动观测的霾日是人工或30年平均霾日的10~68倍,执行2015年中国气象局相关规定订正后才使自动观测的霾记录基本趋于合理。

在2010行标和2018国标中都没有明确指明,标准中使用的能见度是器测能见度还是目测能见度,但2010行标发布时能见度主要是人工观测资料。由于器测与目测能见度存在差异,、分析能见度的长期变化时,通过计算将目测能见度转换成器测能见度。在用不同霾判识方法评价中国霾的分布和变化特征中,使用了7.66 km作为能见度的判识阈值。本文选择的2016年3月至2020年2月数据,全部为器测能见度(),所以将霾判识标准中能见度阈值设为7.66 km()。

表 1 Table 1

表 1 霾判识方法 Table 1 Methods for distinguishing haze

标准   能见度(V)阈值   相对湿度(RH)  
2010行标   V<7.66 km   RH<80%,判识为霾;  
80%≤RH<95%,按气象观测规范描述或大气成分指标判识,
PM2.5>75 μg·m-3判识为霾(本文以此为霾判别标准)
 
2018国标   RH<80%,判识为霾;  
80%≤RH<95%,气溶胶消光系数与实际大气消光系数比值≥0.8时,判识为霾  

  表 1 霾判识方法 Table 1 Methods for distinguishing haze  

1.5 霾日的定义

在以往气象霾日数的分析中,主要使用三种方式来定义霾日(), 第一种为按照观测记录订正,只要在1日中某个时次符合出现霾的标准即统计为一个霾日;第二种是用日均值,当日均能见度和日均相对湿度符合霾判识标准即统计为一个霾日;第三种是如果14时能见度和相对湿度符合霾判识标准,即统计为一个霾日。在分析霾的长期变化时,以往研究主要采用日均值方法(; ; )和14时值法(; ; )统计霾日。

本文霾日是在2010行标判识条件下,以三种方式判识并统计霾日数:若以14时观测资料判识为霾,即统计为一个霾日;若以日平均值判识为霾,即统计为一个霾日;若以逐时资料判识霾且霾现象持续6 h及以上时,统计为一个霾日(2018国标按1日内霾现象持续6 h及以上时计为一个霾日)。

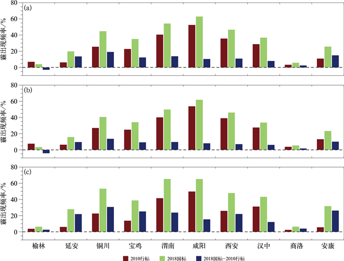
2 不同标准下霾日数的比较 2.1 不同判识方法识别的霾日数的比较

依据2010行标分别用14时观测值和日平均值判识霾并统计得到的霾日数,分别记为“行标14T”和“行标Day”;依据2010行标和2018国标,对逐时观测资料进行霾判识,将1日内霾持续6 h及以上的霾日数分别记为“行标6 h”和“国标6 h”,以气象观测站记录的霾日数作为“观测霾”,将不同地市、不同类型霾日出现频率对比分析表明(),“观测霾”和“行标14T”在五种判识方法中霾日出现频率较低,“国标6 h”判识出的霾出现频率是五种方法中最多的。陕西关中地区采用2018国标后霾日出现频率比“行标14T”多4.8%~16.1%,比“行标Day”多7.1%~9.4%,比“行标6 h”多3.1%~1.1%,比“观测霾”多6.8%~15.5%;也就是说“行标6 h”和“国标6 h”得到的霾日数相当,与“行标14T”和“观测霾”判识出的霾差异能达到10%以上;陕南的汉中、安康以2018国标判识的霾日数比“行标14T”和“行标Day”多1.6%~7.6%,与“行标6 h”相当;陕北的榆林、延安,陕南的商洛本身霾出现的频率就较少,五种方法判识的结果差异不大,“行标6 h”和“国标6 h”判识出的霾日数出现频率基本相当。

  图 2 2016年3月1日至2020年2月29日陕西不同判识标准下霾日出现频率 Fig. 2 Frequency of haze days identified with different distinguished methods in Shaanxi Province from 1 March 2016 to 29 February 2020  

2.2 2010行标和2018国标判识霾的差异

(1) 80%≤RH<95%时的差异

对比2010行标和2018国标霾判识条件,两者在RH<80%时,霾判识条件是相同的。但在80%≤RH<95%时,2010行标是按照PM2.5>75 μg·m-3判识为霾;而2018国标是当吸湿增长后,气溶胶消光系数与实际大气消光系数的比值≥0.8时,判识为霾。利用逐时观测资料分析逐时霾出现频率,当80%≤RH<95%时(),除了霾出现频率本身就很低的陕北榆林和陕南商洛以外,2018国标判识的霾出现频率比用2010行标判识的多8.1%~19.1%。将湿度分段来看(),在80%≤RH<90%时(),2018国标判识的霾出现频率比2010行标多6.1%~13.6%;当90%≤RH<95%时(),2018国标比2010行标多12.1%~30.7%;湿度越大,增加越明显。因此,在应用2018国标时,湿度对霾判识的影响非常明显。

  图 3 2016年3月1日至2020年2月29日陕西使用2018国标与2010行标在不同相对湿度下判识逐时霾出现频率 (a)80%≤RH<95%, (b)80%≤RH<90%, (c)90%≤RH<95% Fig. 3 Frequency of hourly haze occurrence over different relative humidity (RH) intervals identified with 2018GB and 2010QX in Shaanxi Province from 1 March 2016 to 29 February 2020 (a) 80%≤RH < 95%, (b) 80%≤RH < 90%, (c) 90%≤RH < 95%  

(2) 不同PM2.5浓度时的差异

给出了利用逐时资料在不同PM2.5浓度下,使用2018国标识别出的逐时霾出现频率与2010行标识别的差异,可以看出在PM2.5≤75 μg·m-3时,2018国标识别出的霾出现频率明显多于2010行标识别的霾频率(这里2010行标识别出的霾主要是能见度<7.66 km,RH<80%的霾),但在PM2.5>75 μg·m-3时则反之。依据2010行标,当能见度<7.66 km, RH≥80%时,若PM2.5>75 μg·m-3,则判识为霾;而依据2018国标,在能见度<7.66 km、RH≥80%的条件下,若计算得到的吸湿增长后的气溶胶消光系数与实际大气消光系数的比值低于0.8,不能判识为霾,甚至在PM2.5>115 μg·m-3发生中度污染时[细颗粒物质量浓度PM2.5的24 h平均值75 μg·m-3<PM2.5≤115 μg·m-3、115 μg·m-3<PM2.5≤150 μg·m-3、150 μg·m-3<PM2.5≤250 μg·m-3、PM2.5>250 μg·m-3,分别对应了空气质量的轻度污染、中度污染、重度污染和严重污染()],还会出现这种情况,只不过出现频率很低,除咸阳、安康外,其余各地在1%以下;但随着PM2.5浓度的增加,这种情况减少,在RH≥80%且严重污染时,两个标准都会判识为霾。

  图 4 2016年3月1日至2020年2月29日不同PM2.5质量浓度下陕西使用2018国标与2010行标识别的逐时霾出现频率的差 Fig. 4 Difference of hourly haze occurrence frequency between 2018GB and 2010QX with different PM2.5 concentrations in Shaanxi Province from 1 March 2016 to 29 February 2020  

在RH≥80%,PM2.5<75 μg·m-3的情况下,2018国标判识为霾的情况(,此时能见度<7.66 km, PM2.5<75 μg·m-3,2010行标不判识为霾2018国标吸湿增长后气溶胶消光系数与实际大气消光系数的比值≥0.8时,判识为霾)。当80%≤RH<85%时,这种霾的PM2.5质量浓度主要在36~75 μg·m-3;当85%≤RH<90%,这种霾中有91.7% 以上PM2.5质量浓度为35~75 μg·m-3;而当90%≤RH<95%时,除榆林、商洛霾出现频率本身就少外(),此相对湿度下的霾样本数较少的地区外,这种霾中有74.2%~89.5%的PM2.5在36~75 μg·m-3,也就是说,在此相对湿度下,2018国标判识出的霾中有10.5%~25.8%对应PM2.5<35 μg·m-3,这种霾显然与污染无关,此时的低能见度应该是由水汽以及气溶胶粒子的吸湿增长效应引起的。统计了华北平原地区气溶胶消光系数、体积浓度、相对湿度、能见度的变化,发现RH < 90%时,高气溶胶体积浓度是引起能见度降低的主要因素,RH > 90%时,能见度下降主要受RH增加的影响,与本文有相似的结论。

表 2 Table 2

表 2 不同相对湿度下,2016年3月1日至2020年2月29日陕西利用2018国标识别出的霾在不同PM2.5质量浓度下的占比(单位:%) Table 2 The Proportions of haze identified by 2018GB in different PM2.5 intervals with different relative humidity in Shaanxi Province from 1 March 2016 to 29 February 2020 (unit: %)

站名   样本数/个   80%≤RH<85%   85%≤RH<90%   90%≤RH<95%  
PM2.5≤35 μg·m-3   35 μg·m-3<PM2.5≤75 μg·m-3   PM2.5≤35 μg·m-3   35 μg·m-3<PM2.5≤75 μg·m-3   PM2.5≤35 μg·m-3   35 μg·m-3<PM2.5≤75 μg·m-3  
榆林   13   0   100   0   100   0   100  
延安   393   0   100   3.8   96.2   25.8   74.2  
铜川   675   0   100   3.4   96.6   17.6   82.4  
宝鸡   390   0   100   2.2   97.8   13.4   86.6  
咸阳   438   0   100   4.2   95.8   12.4   87.6  
西安   301   1.6   98.4   8.3   91.7   24.1   75.9  
渭南   557   0   100   7.1   92.9   14.2   85.8  
汉中   433   0   100   4.0   96.0   10.5   89.5  
安康   786   0   100   0   100   14.2   85.8  
商洛   85   0   100   0   100   2.4   97.6  

  表 2 不同相对湿度下,2016年3月1日至2020年2月29日陕西利用2018国标识别出的霾在不同PM2.5质量浓度下的占比(单位:%) Table 2 The Proportions of haze identified by 2018GB in different PM2.5 intervals with different relative humidity in Shaanxi Province from 1 March 2016 to 29 February 2020 (unit: %)  

气溶胶吸湿增长能力及其对相对湿度的依赖性与气溶胶粒子大小、成分和混合状态间有着复杂密切的联系。分析2018国标计算吸湿增长后的气溶胶消光系数[式(1)~式(4)]中与气溶胶相关的特性参数发现,气溶胶吸湿性参数κ对消光系数的影响较大,当κ增大(减小)10%,κ对消光系数的影响会随相对湿度的增大(减小)而增大(减小),在80%≤RH<95%时,消光系数会增大(减小)约5%~7.5%;气溶胶复折射指数的实部和虚部、几何平均粒径等参数的变化在高相对湿度时,对消光系数的影响很小。

在陕西,由于缺乏气溶胶吸湿增长参数的观测研究,文中κ值直接取自2018国标的推荐值,实际上,该值在不同地区,甚至同一地区的不同时期都有较大变化。采用粒子谱和化学成分两种方法计算了北京地区的κ值,发现北京夏季250 nm粒子κ均值为0.28±0.10,与2018国标推荐值0.30相当。研究表明,西安市气溶胶的有机组分质量占比(55%~67%)高于北京(40%~58%),气溶胶吸湿增长能力弱于北京。

因此,κ值采用0.3可能高估了气溶胶的吸湿增长能力,造成当80%≤RH<95%时,用2018国标判识的霾出现频率比2010行标多,湿度越大,增加越明显。

2.3 气象标准下的霾与大气污染

在2010行标和2018国标中,霾的判识是排除降水、沙尘暴、扬沙、浮尘、吹雪、雪暴、烟幕等影响视程的天气现象后进一步判识的,有这些影响视程的天气现象的记录不被统计为霾,但这些记录中关中有17%~24%的日平均PM2.5>75 μg·m-3;同样在无影响视程的天气现象情况下,能见度≥7.66 km时,不被判识为霾,但也出现了PM2.5>75 μg·m-3的情况,如西安泾河,样本中无天气现象且能见度≥7.66 km的非霾天气中有13%的样本PM2.5>75 μg·m-3。同样,在前述分析中,存在能见度<7.66 km,依据2018国标可判识为霾,但在环境质量标准中空气质量未达到轻度污染的情况。所以,气象标准中定义的霾与空气污染并不完全等同。

分析日平均PM2.5浓度与2018标准下日出现霾的小时数,其呈明显正相关关系,线性相关系数除陕北的榆林、延安较低(分别为0.422和0.59)外,关中及陕南的汉中均在0.80以上,气象条件判识的霾与大气中细颗粒物浓度密切相关,与大气污染密切相关。

2018国标充分考虑了水汽对大气能见度的影响,将高相对湿度下颗粒物浓度未达到污染指标的低能见度现象判识为霾;但出现了RH≥80%、能见度 < 7.66 km,且PM2.5>115 μg·m-3,但计算得到的吸湿增长后的气溶胶消光系数与实际大气消光系数的比值低于0.8,不能判定为霾的情况,这与实际人们对霾的认识不符,需要将判识标准进一步完善。

3 不同霾标准下,陕西霾日分布特征

依据2010行标和2018国标,对陕西省各地气象观测和空气质量观测数据进行逐时霾识别,以满足霾识别条件的总时次数作为基数,分析不同地区霾发生频率的日变化和月变化。

3.1 陕西霾发生频率的月变化

依据2010行标,陕西各地霾发生频率的月变化均呈现出“冬高夏低”的“U型”分布(),并且均以1月的发生频率最高,其中,关中的西安、咸阳、渭南、宝鸡1月霾发生频率在50%以上,陕北的延安、榆林发生频率最低,分别为11.43%和10.06%;各地5—9月霾发生频率较低,不到15%,陕南的汉中、安康、商洛及陕北的榆林、延安4—10月霾的发生频率在2.7%以下。与2010行标相比,2018国标除使咸阳和渭南的1月、宝鸡的12月、榆林1—2月霾发生频率出现幅度为-4.84%~-0.07%的下降以外,其余地区和月份霾的发生频率均比2010行标高,提高最明显的是关中及陕南的汉中、安康9—11月霾发生频率,提高幅度在4.26%~13.24%,其余时段提高幅度在3%以下;陕南的商洛、陕北的榆林霾出现频率较低,采用2010行标和2018国标判识的霾出现频率各月差异在0.0%~2.1%,变化不大。

  图 5 2016年3月1日至2020年2月29日陕西霾出现频率的月变化 (a)西安, (b)咸阳, (c)渭南, (d)宝鸡, (e)铜川, (f)汉中, (g)安康, (h)商洛, (i)延安, (j)榆林 Fig. 5 Monthly variation of haze occurrence frequency identified with the 2010QX and 2018GB in Shaanxi Province from 1 March 2016 to 29 February 2020 (a) Xi'an, (b) Xianyang, (c) Weinan, (d) Baoji, (e) Tongchuan, (f) Hanzhong, (g) Ankang, (h) Shangluo, (i) Yan'an, (j) Yulin  

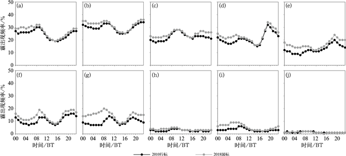
3.2 陕西霾发生频率的日变化

两个标准识别的霾日变化表明(),除陕北的榆林、延安,陕南的商洛霾发生频率的日变化表现为早上的单峰外,其余各地霾发生频率的日变化均表现为早上和夜间相对较高的双峰分布;依据2010行标,早间霾高发期主要集中在09—11时,发生频率为12.6%(铜川)~33.8%(咸阳);夜间霾高发期的时间跨度较大,集中在20—23时,发生频率为13.3%(安康)~34.3%(咸阳)。关中霾发生频率高于陕南的汉中、安康。陕北的榆林、延安,陕南的商洛霾发生频率较低,峰值分别为2.68%、6.59%、4.83%,且出现在09—10时;此后下降,16时至次日07时,在波动中维持在4.83%以下(榆林最低在2.13%以下)。

  图 6 同,但为日变化 Fig. 6 Same as , but for diurnal variation  

霾的出现主要与颗粒物浓度和气象条件有关(; ; ), 关中是汾渭平原大气污染防治重点区域的主要组成部分,研究时段内PM2.5质量浓度均值在50.6 μg·m-3以上,汉中、安康盆地PM2.5质量浓度分别为49.2 μg·m-3、40 μg·m-3,较高的颗粒物浓度为降低能见度、形成霾提供了有力条件。早晨边界层高度低,人类活动开始增多,颗粒物主要集中在低层,再加上相对湿度较高,易造成能见度降低,形成霾出现频率的早间峰值;午后随着太阳辐射增多,边界层高度升高、扩散条件好,近地面颗粒物浓度较低,能见度大,霾出现频率较低;夜晚随着太阳辐射减少边界层高度降低,污染物被集中在底层,再加上风速减小、湿度增大,成为一日内霾出现的夜间峰值。陕北的榆林、延安,陕南的商洛这三个的地区颗粒物浓度较低,研究时段内榆林、延安、商洛PM2.5质量浓度均值分别为34.0、37.4和34.0 μg·m-3,再加上榆林、延安地势较开阔,日平均风速分别为2.8 m·s-1、2.1 m·s-1,大气扩散条件较好,霾出现的频率较低,即使夜间边界层高度下降,但由于白天扩散条件好,颗粒物浓度较低,再加上陕北相对湿度较低(研究时段内榆林、延安日平均相对湿度分别为45.6%、58.0%),不易造成能见度下降形成霾;这三个地区霾出现频率峰值与低值的差异分别为4.5%、2.1%、1.7%,日变化本身不是很显著。

与2010行标相比,除陕北榆林外,2018国标使19时到次日10时霾发生频率明显提高,其中陕南的安康和关中北部的铜川20时至次日08时霾发生频率提高较大(5%以上),但霾的日变化一致。

4 结论与讨论

陕西省各地采用“国标6 h”判识的霾日发生频率高于“行标14T”“行标Day”“观测霾”,“国标6 h”判识出的霾发生频率是五种方法中最多的。关中地区“国标6 h”与“行标6 h”识别出的霾发生频率相当,“国标6 h”与“行标14T”和“观测霾”判识出的霾发生频率差异能达到10%以上;在霾发生频率较少的地方五种方法判识的结果差异不大。建议在讨论霾日时,在霾发生频率较多的地区以逐时资料判识霾,并在霾现象持续6 h及以上时,统计为一个霾日。

2010行标和2018国标判识的霾,差异主要出现在80%≤RH<95%时,用2018国标判识的霾出现的频率比用2010行标判识的多8.1%~19.1%,尤其是当90%≤RH<95%时,2018国标判识的霾出现频率比2010行标多12.1%~30.7%;湿度越大,增加越明显,湿度对用2018国标判识霾的影响非常明显。气溶胶吸湿性参数对吸湿增长后气溶胶消光系数的计算影响较大,在使用2018国标时应注意该参数在各地的差异,建议当相对湿度较高时,霾判识时还应参考PM2.5质量浓度。

在能见度<7.66 km、PM2.5≤75 μg·m-3时,2018国标识别出了霾,且识别出的霾中存在PM2.5<35 μg·m-3的情况,此时的霾显然与污染无关,2018国标能够识别出主要由水汽以及气溶胶粒子的吸湿增长效应引起的低能见度霾。在PM2.5>75 μg·m-3时,出现了2010行标识别的霾数多于2018国标的情况,但是在中度及以上污染时,2010行标和2018国标识别出的霾差异不大。

陕西各地市霾发生频率的月变化均呈现出冬高夏低的“U型”分布,并且1月霾发生频率最高。2018国标使关中及陕南的汉中、安康9—11月霾发生频率明显提高,提高幅度在4.26%~13.24%。

除陕北的榆林、延安,陕南的商洛霾发生频率的日变化为早上的单峰外,其余地市霾发生频率的日变化均表现为早上和夜间相对较高的双峰分布,早间霾高发期主要集中在09—11时,夜间霾高发期集中在20—23时;关中霾发生频率高于陕南的汉中、安康。使用2018国标判识,除陕北榆林外,19时到次日10时霾发生频率均明显提高,其中陕南的安康和关中北部的铜川20时至次日08时霾发生频率提高较大(5%以上),但霾的日变化一致。

参考文献

蔡子颖, 张敏, 韩素芹, 等, 2018. 天津重污染天气混合层厚度阈值及应用研究[J]. 气象, 44(7): 911-920. Cai Z Y, Zhang M, Han S Q, et al, 2018. Research on threshold and regularity of mixed layer thickness in heavy pollution weather in Tianjin[J]. Meteor Mon, 44(7): 911-920 (in Chinese).

 

陈镭, 周广强, 毛卓成, 等, 2020. 上海地区2017年三次短时重度污染过程变化特征及其气象影响因素[J]. 气象, 46(5): 675-686. Chen L, Zhou G Q, Mao Z C, et al, 2020. Variation characteristics and meteorological impact factors of three short-time severe air pollutions in Shanghai in 2017[J]. Meteor Mon, 46(5): 675-686 (in Chinese).

 

国家市场监督管理总局, 中国国家标准化管理委员会, 2018. 霾的观测识别: GB/T 36542—2018[S]. 北京: 中国标准出版社. State Administration for Market Regulation, Standardization Administration of the People's Republic of China, 2018. Haze identification for meteorological observation: GB/T 36542-2018[S]. Beijing: Standards Press of China(in Chinese).

 

胡琳, 张侠, 苏静, 等, 2019. 陕西省霾天气变化特征及气候成因分析[J]. 干旱区地理, 42(4): 707-714. Hu L, Zhang X, Su J, et al, 2019. Variation characteristics of haze weather and its climatic causes in Shaanxi Province[J]. Arid Land Geogr, 42(4): 707-714 (in Chinese).

 

环境保护部, 2012. 环境空气质量指数(AQI)技术规定(试行): HJ633-2012 [S]. 北京: 中国环境科学出版社. Ministry of Environmental Protection, 2012. Technical Regulation on Ambient Air Quality Index (on trail): HJ633-2012 [S]. Beijing: China Environmental Science Press(in Chinese).

 

黄鑫, 李亚丽, 王靖中, 等, 2019. 1980—2016年陕西省冬季霾日数时空变化及增多成因初探[J]. 中国环境科学, 39(9): 3671-3681. Huang X, Li Y L, Wang J Z, et al, 2019. The spatial-temporal variations of haze in Shaanxi Province from 1980 to 2016 and the initial exploration of the increase[J]. China Environ Sci, 39(9): 3671-3681 (in Chinese). DOI:10.3969/j.issn.1000-6923.2019.09.010

 

黄元龙, 杨新, 2013. 大气细颗粒物对大气能见度的影响[J]. 科学通报, 58(13): 1165-1170. Huang Y L, Yang X, 2013. Influence of fine particulate matter on atmospheric visibility[J]. Chin Sci Bull, 58(13): 1165-1170 (in Chinese).

 

蒋璐君, 刘熙明, 张弛, 2020. 江西省近50年霾天气时空分布特征及成因分析[J]. 气象, 46(5): 695-704. Jiang L J, Liu X M, Zhang C, 2020. Spatio-temporal characteristics of haze and its forming reason in Jiangxi Province during the past 50 years[J]. Meteor Mon, 46(5): 695-704 (in Chinese).

 

李星敏, 陈闯, 董自鹏, 等, 2018. 关中颗粒物粒径谱特征及其气象影响因子分析[J]. 气象, 44(7): 929-935. Li X M, Chen C, Dong Z P, et al, 2018. Analysis of the impact of meteorological factors on particle size distribution and its characteristic over Guanzhong Basin[J]. Meteor Mon, 44(7): 929-935 (in Chinese).

 

刘瑞翔, 刘端阳, 姚雷, 等, 2020. 近十年连云港市霾变化特征及其气象条件分析[J]. 气象, 46(7): 959-970. Liu R X, Liu D Y, Yao L, et al, 2020. Analysis on the variation characteristics and meteorological conditions of haze in Lianyungang City in recent decade[J]. Meteor Mon, 46(7): 959-970 (in Chinese).

 

刘兆东, 王宏, 沈新勇, 等, 2020. 京津冀及周边地区冬季能见度与PM2.5浓度和环境湿度的多元回归分析[J]. 气象学报, 78(4): 679-690. Liu Z D, Wang H, Shen X Y, et al, 2020. Multiple regression analysis of winter visibility, PM2.5 concentration and humidity in Beijing-Tianjin-Hebei and its surrounding regions[J]. Acta Meteor Sin, 78(4): 679-690 (in Chinese).

 

潘玮, 左志燕, 肖栋, 等, 2017. 近50年中国霾年代际特征及气象成因[J]. 应用气象学报, 28(3): 257-269. Pan W, Zuo Z Y, Xiao D, et al, 2017. Interdecadal variation of haze days over China with atmospheric causes in recent 50 years[J]. J Appl Meteor Sci, 28(3): 257-269 (in Chinese).

 

陕西省气象局《陕西气候》编写组, 2009. 陕西气候[M]. 西安: 陕西科学技术出版社: 160-164. Shaanxi Climate Editing Group of Shaanxi Meteorological Bureau, 2009. Shaanxi Climate[M]. Xi'an: Shaanxi Science and Technology Press: 160-164 (in Chinese).

 

石春娥, 张浩, 马井会, 等, 2017. 基于器测能见度的霾天气判断标准的探讨[J]. 高原气象, 36(6): 1693-1702. Shi C E, Zhang H, Ma J H, et al, 2017. Investigation on norm of haze identification based on hourly auto-monitored visibility[J]. Plateau Meteor, 36(6): 1693-1702 (in Chinese).

 

司鹏, 高润祥, 2015. 天津雾和霾自动观测与人工观测的对比评估[J]. 应用气象学报, 26(2): 240-246. Si P, Gao R X, 2015. A comparative evaluation on automatic and manual observations of fog and haze in Tianjin[J]. J Appl Meteor Sci, 26(2): 240-246 (in Chinese).

 

王瑞, 周学东, 李崇志, 等, 2015. 江苏省能见度的人工与自动观测差异分析[J]. 气象科学, 35(2): 183-188. Wang R, Zhou X D, Li C Z, et al, 2015. Analysis on visibility difference between manual and automatic observation in Jiangsu[J]. J Meteor Sci, 35(2): 183-188 (in Chinese).

 

吴兑, 2008. 霾与雾的识别和资料分析处理[J]. 环境化学, 27(3): 327-330. Wu D, 2008. Discussion on the distinction between haze and fog and analysis and processing of data[J]. Environ Chem, 27(3): 327-330 (in Chinese). DOI:10.3321/j.issn:0254-6108.2008.03.011

 

吴兑, 2012. 近十年中国灰霾天气研究综述[J]. 环境科学学报, 32(2): 257-269. Wu D, 2012. Hazy weather research in China in the last decade: a review[J]. Acta Sci Circum, 32(2): 257-269 (in Chinese).

 

吴兑, 毕雪岩, 邓雪娇, 等, 2006. 珠江三角洲大气灰霾导致能见度下降问题研究[J]. 气象学报, 64(4): 510-517. Wu D, Bi X Y, Deng X J, et al, 2006. Effect of atmospheric haze on the deterioration of visibility over the Pear River Delta[J]. Acta Meteor Sin, 64(4): 510-517 (in Chinese).

 

吴兑, 陈慧忠, 吴蒙, 等, 2014. 三种霾日统计方法的比较分析——以环首都圈京津冀晋为例[J]. 中国环境科学, 34(3): 545-554. Wu D, Chen H Z, Wu M, et al, 2014. Comparison of three statistical methods on calculating haze days-taking areas around the capital for example[J]. China Environ Sci, 34(3): 545-554 (in Chinese).

 

吴兑, 吴晓京, 李菲, 等, 2010. 1951—2005年中国大陆霾的时空变化[J]. 气象学报, 68(5): 680-688. Wu D, Wu X J, Li F, et al, 2010. Temporal and spatial variation of haze during 1951-2005 in Chinese mainland[J]. Acta Meteor Sin, 68(5): 680-688 (in Chinese).

 

吴兑, 吴晓京, 朱小祥, 2009. 雾和霾[M]. 北京: 气象出版社. Wu D, Wu X J, Zhu X X, 2009. Fog and Haze[M]. Beijing: China Meteorological Press (in Chinese).

 

吴萍, 丁一汇, 柳艳菊, 等, 2016. 中国中东部冬季霾日的形成与东亚冬季风和大气湿度的关系[J]. 气象学报, 74(3): 352-366. Wu P, Ding Y H, Liu Y J, et al, 2016. Influence of the East Asian winter monsoon and atmospheric humidity on the wintertime haze frequency over central-eastern China[J]. Acta Meteor Sin, 74(3): 352-366 (in Chinese).

 

薛筝筝, 张磊, 左湘文, 等, 2016. 宁夏人工观测与自动观测能见度的对比评估[J]. 气象水文海洋仪器, 33(3): 100-104. Xue Z Z, Zhang L, Zuo X W, et al, 2016. Comparative evaluation on manual and automatic observation of visibility in Ningxia[J]. Meteor, Hydro Marine Instru, 33(3): 100-104 (in Chinese).

 

姚青, 蔡子颖, 韩素芹, 等, 2014. 天津冬季相对湿度对气溶胶浓度谱分布和大气能见度的影响[J]. 中国环境科学, 34(3): 596-603. Yao Q, Cai Z Y, Han S Q, et al, 2014. Effects of relative humidity on the aerosol size distribution and visibility in the winter in Tianjin[J]. China Environ Sci, 34(3): 596-603 (in Chinese).

 

曾英, 张红娟, 贺音, 2017. 自动观测霾、雾、轻雾与人工观测对比分析及订正[J]. 陕西气象, (1): 28-30. Zeng Y, Zhang H J, He Y, 2017. Comparative analysis and correction between automatic observation and artificial observation of haze, fog and light fog[J]. J Shaanxi Meteor, (1): 28-30 (in Chinese).

 

张红娟, 曾英, 2017. 自动能见度数据类型及其质量控制方法[J]. 陕西气象, (2): 33-35. Zhang H J, Zeng Y, 2017. Data types of automatic visibility observations and their quality control methods[J]. J Shaanxi Meteor, (2): 33-35 (in Chinese).

 

张小曳, 孙俊英, 王亚强, 等, 2013. 我国雾-霾成因及其治理的思考[J]. 科学通报, 58(13): 1178-1187. Zhang X Y, Sun J Y, Wang Y Q, et al, 2013. Factors contributing to haze and fog in China[J]. Chin Sci Bull, 58(13): 1178-1187 (in Chinese).

 

中国气象局, 2007. 地面气象观测规范第4部分天气现象观测: QX/T48-2007 [S]. 北京: 气象出版社. China Meteorological Administration, 2007. Specifications for surface meteorological observation Part 4: observation of weather phenomenon: QX/T48-2007 [S]. Beijing: China Meteorological Press(in Chinese).

 

中国气象局, 2010. 霾的观测和预报等级: QX/T 113—2010[S]. 北京: 气象出版社. China Meteorological Administration, 2010. Observation and forecasting levels of haze: QX/T 113-2010[S]. Beijing: China Meteorological Press (in Chinese).

 

周国兵, 向波, 胡春梅, 等, 2017. 基于自动能见度观测的雾和霾天气判别指标研究[J]. 西南师范大学学报(自然科学版), 42(10): 78-83. Zhou G B, Xiang B, Hu C M, et al, 2017. The index of fog and haze distinguishing based on automatic visibility observations[J]. J Southwest China Normal Univ (Nat Sci Ed), 42(10): 78-83 (in Chinese).

 

周须文, 韩世茹, 井元元, 等, 2020. 京津冀雾霾消散因子及其阈值研究[J]. 气象学报, 78(1): 154-162. Zhou X W, Han S R, Jing Y Y, et al, 2020. A study on haze dissipation factors and their thresholds over Beijing-Tianjin-Hebei Area[J]. Acta Meteor Sin, 78(1): 154-162 (in Chinese).

 

Gao L N, Cao L J, Zhang Y, et al, 2020. Re-evaluating the distribution and variation characteristics of haze in China using different distinguishing methods during recent years[J]. Sci Total Environ, 732: 138905.

 

Ma N, Zhao C S, Chen J, et al, 2014. A novel method for distinguishing fog and haze based on PM2.5, visibility, and relative humidity[J]. Sci China Earth Sci, 57(9): 2156-2164.

 

Pei L, Yan Z W, Sun Z B, et al, 2018. Increasing persistent haze in Beijing: potential impacts of weakening East Asian winter monsoons associated with Northwestern Pacific sea surface temperature trends[J]. Atmos Chem Phys, 18(5): 3173-3183.

 

Wang G H, Zhang R Y, Gomez M E, et al, 2016. Persistent sulfate formation from London fog to Chinese haze[J]. Proc Natl Acad Sci USA, 113(48): 13630-13635.

 

Wu Z J, Zheng J, Shang D J, et al, 2016. Particle hygroscopicity and its link to chemical composition in the urban atmosphere of Beijing, China, during summertime[J]. Atmos Chem Phys, 16(2): 1123-1138.

 

Zhang J, Xue H, Deng Z, et al, 2014. A comparison of the parameterization schemes of fog visibility using the in-situ measurements in the North China Plain[J]. Atmos Environ, 92: 44-50.

 

Zhang R H, Li Q, Zhang R N, 2014. Meteorological conditions for the persistent severe fog and haze event over eastern China in January 2013[J]. Sci China: Earth Sci, 57(1): 26-35.

 

Zhang Y, Gao L N, Cao L J, et al, 2020. Decreasing atmospheric visibility associated with weakening winds from 1980 to 2017 over China[J]. Atmos Environ, 224: 117314.